PCB上的互联设计是用来引导电磁波从一点传输到另一点,以此来实现能量和信息的传输.PCB走线上传输的是电磁波,理解这一点有助于我们理解传输线物理长度相等而传输的信号所用的时间不相等,也即等长而不等时的这一奇怪现象.
早在1833年,高斯和韦伯就已经开始利用奥斯特的电磁转向与电流方向垂直原理(1802)以及法拉第的电磁感应原理(1831),从高斯工作的天文台拉了一条大约1.2公里长的双线导线,跨过许多人家的屋顶,一直拉到了韦伯工作的实验室,构造了世界第一个电报机。
他们还为此发明了高斯韦伯码,利用指针的相反向偏转来表示相关的字母信息。
高斯和韦伯是利用电磁原理进行通信的早期实践者之一,同期还有许多科学家在做着类似的试验,比如美国科学家约瑟夫·亨利,其在1830年的独立研究中也发现了法拉第电磁感应定律,并利用电磁原理实现了长达1000英尺(305米)的响铃装置,可以实现信息的传递。
但他们的商业意识都不太强,没有去申请相关的专利-他们认为自己是一位纯粹的科学家,而不是追逐利益的发明家。
无论是高斯和韦伯的电磁电报装置还是后来成功实现商用的莫尔斯的电报机,都是引导电磁波从一点传输到另一点,以此来实现信息的传输,但当时的人们可能没有意识到这一点,直到1864年,麦克斯韦在发表的论文《电磁场的动力学理论》中提出,电场和磁场以波的形式以光速在空间中传播,在理论上预测了电磁波的存在,而后电磁波由德国物理学家海因里希·赫兹于1887年至1888年间在实验中证实了电磁波的存在。
由于对电磁波的认识不足,1854铺设的首条跨大西洋电报电缆便以失败而告终,海底电缆的电气特性与早先用于概念验证实验的露天电缆有很大不同,在海底电缆铺设竣工后,工程测试人员在电缆一端连接直流信号,在电缆另一端用灵敏的反射镜检流计检测信号,以验证电缆是否正确导通,这种低频测试似乎证明了设计的正确性,一切看起来都很正常。
但电缆正式运营之后,发报机电键按下触发的脉冲信号却无法按预期正常传输到电缆的另一端,当时负责电缆项目的首席电气工程师怀特豪斯(Whitehouse)认为,采用更高的电压会以更大的力量推动电子向前加速运动,从而使信号得以高速进行传输。
正如我们初中物理课本中将电压、电流的关系类比于水压与水流的关系那样,在认识电磁波之前,通过类比进行直觉上的判断,地势落差越大,水流越湍急,我们将需要发送的摩尔电码类比于水流中的漂流瓶所承载的信息,水流越快,信息的传递也越快。
但是,电子在导体里前进的速度可是比水流在河道里流淌的速度还要慢的!!!
电子是人类发现的第一种基础粒子,1897年由英国物理学家约瑟夫·约翰·汤姆生在研究阴极射线时发现。电子是第一代轻子,以重力、电磁力和弱核力与其它粒子相互作用。轻子是构成物质的基本粒子之一,无法被分解为更小的粒子。
由电子与中子、质子所组成的原子,是物质的基本单位。电子与质子之间的库仑力能促使电子被束缚于原子内部,因此为束缚电子。两个以上的原子,会交换或分享它们的束缚电子,这是化学键的主要成因。当电子不再被束缚于原子内部,而能够自由移动于原子以外的空间时,则称此电子为自由电子。多个自由电子共同移动所产生的净流动现象称为电流。在许多物理现象里,像电传导、磁性或热传导,电子都扮演了重要角色。移动的电子会产生磁场,也会被外磁场偏转。呈加速度运动的电子会产生电磁辐射现象。
电子在原子核外很小的空间内作高速运动,其运动规律跟一般物体不同,它没有明确的轨道。因此,人们常用一种能够表示电子在一定时间内在核外空间各处出现机会的模型来描述电子在核外的运动。在这个模型中,某个点附近的密度表示电子在该处出现的机会的大小。密度大的地方,表明电子在核外空间单位体积内出现的机会多;反之,则表明电子出现的机会少。由于这个模型很像在原子核外有一层疏密不等的“云”,所以,人们形象地称之为“电子云”。
电子除了不停地在原子核外很小的空间内作高速运动之外,自由电子还可以在整个金属中自由运动,通常的金属导体都是以金属键结合的晶体,处于晶格结点上的原子很容易失去外层的价电子,而成为正离子。脱离原子核束缚的价电子可以在整个金属中自由运动,称为自由电子。自由电子经常处于热运动的状态,能够被原来的原子在某点释放,又被其他的原子在不同的点再次俘获。在不受外电场作用时,自由电子只作热运动,不发生宏观电量的迁移,因而整个金属导体的任何宏观部分都呈电中性状态。
如下边的这个链接显示的这样:
https://www.asc.ohio-state.edu/orban.14/physics1251_fall2016/conductor_mod/conductor.html
如果给导线施加了一个外电场(比如导线两端连接到电池),导线中的自由电子感受到来自电场的力,并向电场的方向加速(注:电子是负电荷,电子的运动的方向是往正极跑)。在跑往正极的途中,电子继续与导线中的原子碰撞,导致它们向不同的方向反弹。但是在这个随机热运动的基础上,电子现在有了一个与电场方向相反的净有序运动。导线中的电流由电子运动的有序部分组成,而运动的随机部分仍然构成了导线中的热能。因此,施加的电场会使电流沿导线流动,形成电流。
如下边的这个链接显示的这样:
https://www.asc.ohio-state.edu/orban.14/physics1251_fall2016/conductor/conductor.html
电流物理上这么定义的:电流是电荷的平均定向移动。注意这里的【平均】和【定向】。
在没有外电场作用下,因为热能,在固态金属导体内的自由电子仍旧会随机地移动,挑选导线内部任意截面,在任意时间间隔内,从截面一边移到另一边的电子数目,等于反方向移过截面的数目,这时平均净电流是零。
给予一个直流的电压源,例如,电池,当连接一根导线于它的两个接头时,电压源会施加电场于整个导线。在连接动作完成的同时,导线的自由电子会感受到电场力,因而往正极接头漂移。由于电子与原子晶格的碰撞产生了摩擦的机械作用,电子不是在外加电场的影响下加速的(牛顿第二定律),而是以与外加电场大小成比例的平均漂移速度漂移的,这种情况称为传导,有电子漂移产生的电流称为传导电流。
那问题来了,电源接通后,我们就会感觉到瞬间就通上电了,这个瞬间是多快呢?
还是引用上边的描述,电流形成于电子(或其他电荷载流子)在存在电位差或电场的情况下通过导体的定向运动。电流形成的速度取决于电子被电场所施加的电磁力所影响的形成时间,也即取决于电磁波传播的速度。
假设在火星上放一枚灯泡,然后用理想的无损导线将导线与地球上的电池连接起来,在导线接上电池的刹那,火星侧导线上的自由电子还在做着无序的热运动,灯泡并不会马上亮起来。
什么时候火星上的灯泡能亮起来,取决于灯泡节点处的电场什么时候能建立起来,也就是电磁波在导线里的传播速度,灯泡节点处的电场建立起来之后,电场力推动电子做定向漂移运动,然后电子的能级跃迁辐射出光子,也即灯泡发光了。
电子的漂移速度是多少呢,电子的速度能达到光速吗?
电子的移动速度不能达到光速!依据狭义相对论,一个静止质量非零的物体无法以光速运动。当物体趋近于光速时,它的能量和动量将无限制的增加。
不好意思放错图了,应该是下边的这一张,E=MC2
电子的静止质量不为零,即使这个值非常非常小,数值大小为9.109 38215(45)×10 –31 kg 。当向电子中添加能量时,它的运行速度会加快,比如用粒子加速器加速电子,加速到光速的99.9999992%,这需要非常巨大的能量,要使其能量达到4亿eV(电子伏特),兆电子伏特加速器可将质子加速到光速的99.99999954%,需要使质子能量达到1TeV(电子伏特),千亿级别。
而把粒子加速到接近于光速,是在高能粒子加速器里才能实现的,需要在高真空的受控场中进行。
电子在金属导体的移动并不容易,可以说是跌跌撞撞,缓慢前进。
首先,金属导体中电子由于库仑力的作用,在原子内部的电子被原子核吸引与束缚。电子在原子核外很小的空间内作高速运动,以氢原子的基态电子为例,以每秒约2200公里的速度在运动,不到光速的1%。但束缚在原子核周围运动的电子不能形成电流。
在导体内,可移动的电荷载子不停的随机移动,就像气体的粒子。为了要有净电流,电荷载子移动的平均漂移速度必须不等于零。电子是金属的电荷载子。电子移动的路径没有任何规律,从一个原子撞到另一个原子,但大致朝着电场的方向漂移。它们漂移的速度可以由以下方程给出:
Vd:漂移速度,
n:电荷载流子数密度,
e:基本电荷,单位为C
A:导线的截面积
对于直径为1mm的导线,横截面积A=0.7853981633974483*10-6㎡,如果导线上通过1A的电流,就能估算出导线中的电子速度约为:33.661323059753144厘米/小时。时速为33厘米,可比蜗牛都慢!
这里有个计算电子漂移速度的在线计算工具:
http://hyperphysics.phy-astr.gsu.edu/hbase/electric/miccur.html#c1
有趣的是,对于60Hz交流电流而言,在半个周期内电子漂移小于0.2μm,然后在下半个周期它会再往回漂。换句话说,从你打开开关的那一刻起,流过开关中接触点的电子实际上永远不会离开开关,它始终在那里晃来晃去,导线中其它的电子也是一样地晃来晃去。
可见,要在金属导线中通过提高电场强度来提高电子的漂移速度是多么的难,电子碰撞之后速度就降下来了,而在阴极射线管的近真空内,电子移动的速度大约为光速的十分之一。
电子在金属导体内前进非常困难,所以当时负责跨大西洋海底电缆项目的首席电气工程师怀特豪斯(Whitehouse)采用更高的电压以图以更大的力量推动电子向前加速运动,从而使信号得以高速进行传输是行不通的,反而是由于当时海底电缆的制造工艺不够好,所用的绝缘材料承受不了上千伏特的高电压,在特豪斯测试了几天后,绝缘材料就被击穿了,跨大西洋海底电缆的第一次尝试也因此而宣布告失败。
信号的速度不是由电子的速度决定的,而是由电磁波的传播速度决定的,能量或信号在电缆上传播的速度,实际上就是电磁波沿电缆传播(被电缆引导)的速度,即电缆是波导的一种形式(波导结构主要有平行双导线、同轴线、平行平板波导、矩形波导、圆波导、微带线、平板介质光波导和光纤)。
电磁波的传播受到与电缆内和周围材料的相互作用的影响,这种相互作用是由电荷载流子(与电场分量相互作用)和磁偶极(与磁场分量相互作用)的存在引起的。这些相互作用通常使用平均场理论,通过所涉及材料的磁导率和介电常数来来描述。
在电路理论中,使用导体来传输信号/能量,但实际上,导体本身是不能传输和存储能量的。移动的电子会产生磁场,变化磁场又会产生电场。能量在场中传播,电场和磁场建立的快慢决定了信号的速度,而导体只是为能量流动路径提供了方向指引。
没有了导体能量能不能传输,当然可以,比如太阳能,也是一种电磁波,通过宇宙空间从太阳传播到地球。
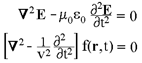
波速的推导
上边第一个方程是由麦克斯韦方程产生的电场的偏微分方程,第二个方程是波动方程的一般形式,其中v称为波动的相速度。比较两个方程并评估电磁波的相速度:
上边的计算是近似值,其中:
µ0 是真空磁导率,是一物理常数,在旧国际单位制中,其数值为
μ0 = 4π×10−7 H/m = 1.2566370614…×10−6N/A2
在新国际单位制中,由于安培的定义被更改,真空磁导率不再是确定值。它当前的近似值是 μ0 = 1.25663706212(19)×10−6 H/m
ε0真空电容率,又称为真空介电系数,或电常数,是一个常见于电磁学的物理常数,在国际单位制里,真空电容率的数值为
ε0 = 8.8541878128(13)×10−12 F⋅m−1
光速的精确值等于299792458 m/s,约为3.00×108 m/s,根据狭义相对论,光速是宇宙中所有的物质运动、信息传播的速度上限,也是所有无质量粒子及对应的场波动在真空中运行的速度。
由于电磁波的传播受到与传输线内和周围材料的相互作用的影响,在低损耗电介质中电磁波的速度由下式给出:
c:真空中的光速
ε:εr*ε0
μ :μr *μ0
如果介质不是铁磁性材料,则介质的磁导率μr为1,介质中信号的速度简化为:
好了,现在我们知道信号是在场中传输,电场与磁场建立的快慢决定了信号的速度。对于PCB上传输的信号而言,信号传播的速度与材料的相对介电常数εr有关。
现在我们可以来探讨为啥等长而不等时了
真空中εr= 1; 空气中εr ≈ 1,标准的PCB材料是FR4,它的εr在4.0左右,而外层的微带线,由于其一侧是PCB材料而另一侧是空气,一个近似的计算外层微带线介电常数的公式为:
εr eff ≈ 0.64 εr + 0.36 约为2.92
如果需要精确的外层微带线有效介电常数值,需要借助场求解器来计算。
或者用PCB Toolkit这个工具来算。
由于微带线和带状线他们的εr是不同的, 外层微带线的有效特性阻抗大约是2.92,而内层的对称带状线的特性阻抗大约是4(随材料和频率变化),所以电磁波的传播速度也不相同,电磁波在外层的微带线传输比内层的带状线要快。
老wu在HFSS里做了个微带线与带状线传输速度的对比视频:
敲黑板:
- 需要做等长的信号尽量同组同层,如果不同层,需要保持总的长度相等的情况下,各层的走线分段也要尽量保持等长。












